Помощь по скриптам | Помогу с кодом и скриптами
Angry Cat (25.11.2019 в 11:12) d1nka , what? $var = 10; while(25): $var /= 4; echo $var.'<br/>'; endif;
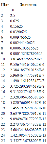
вот сынок тебе верный и рабочий код.) php
<table> <tr> <th>Шаг</th> <th>Значение</th> </tr> <? $i = 1; for ($var = 10; $i < 26; $var = ($var / 4)) { ?> <tr> <td><?=$i?></td> <td><?=$var?></td> </tr> <? $i++; } ?> </table> ------
Скачиваний: 152
d1nka , а ну я не правельно понял да и не особо думал а так благодарю мб пригодится :)
d1nka (25.11.2019 в 11:30)
щас сынок мой тебе нормальный и верный вариант напишу
щас сынок мой тебе нормальный и верный вариант напишу
Зачем все эти вы*боны?
Человек создал тему с бесплатной помощью , быть может такое, что с уровнем его знаний он поможет новичку.
TheWilf , +
TheWilf , конкуренцию чуят гг
d1nka (25.11.2019 в 11:33)
вот сынок тебе верный и рабочий код.)[hljs class="php"] <table> <tr> <th>Шаг</th> <th>Значение</th> </tr> <? $i = 1;for ($var = 10; $i < 26; $var = ($var / 4)) { ?> <tr> <td><?=$i?></td> <td><?=$var?></td> </tr> <? $i++;} ?></table>[/hljs
вот сынок тебе верный и рабочий код.)[hljs class="php"] <table> <tr> <th>Шаг</th> <th>Значение</th> </tr> <? $i = 1;for ($var = 10; $i < 26; $var = ($var / 4)) { ?> <tr> <td><?=$i?></td> <td><?=$var?></td> </tr> <? $i++;} ?></table>[/hljs
Да я делал кст такое ) таблицу вывода наград)
DELETED
25 ноября 2019, в 15:04
Delete
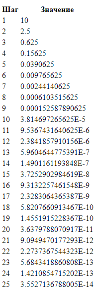
php
$array = array_map(function($base) { return 10 * pow(4, -1 * $base); }, range(1, 25)); echo '<pre>' . print_r($array, true) . '</pre>'; // смотрим, что у нас в $array /*Array ( [0] => 2.5 [1] => 0.625 [2] => 0.15625 [3] => 0.0390625 [4] => 0.009765625 [5] => 0.00244140625 [6] => 0.0006103515625 [7] => 0.000152587890625 [8] => 3.814697265625E-5 [9] => 9.5367431640625E-6 [10] => 2.3841857910156E-6 [11] => 5.9604644775391E-7 [12] => 1.4901161193848E-7 [13] => 3.7252902984619E-8 [14] => 9.3132257461548E-9 [15] => 2.3283064365387E-9 [16] => 5.8207660913467E-10 [17] => 1.4551915228367E-10 [18] => 3.6379788070917E-11 [19] => 9.0949470177293E-12 [20] => 2.2737367544323E-12 [21] => 5.6843418860808E-13 [22] => 1.4210854715202E-13 [23] => 3.5527136788005E-14 [24] => 8.8817841970013E-15 )*/
На флудили в теме))
без выебонов никак. Ясно ведь написано, что автор бесплатно собирается помогать новичкам, а не просить по 100 р. за строчку кода.
________
посл. ред. 25.11.2019 в 23:01; всего 1 раз(а); by AMD
________
посл. ред. 25.11.2019 в 23:01; всего 1 раз(а); by AMD
Стр.: 1, 2
